發布時間:2025-12-10 16:51:35 作者:試管專家

知乎系統給我推薦的請去問題里,90%以上是機構關于哪里可以做試管嬰兒的。為此,不被我把已經拿到國家生殖技術牌照的試管、正規的嬰兒醫療醫療機構的名單放在這里,請大家對應自己所在地進行查詢,請去防止有病亂投醫,機構防止大家受騙上當!不被

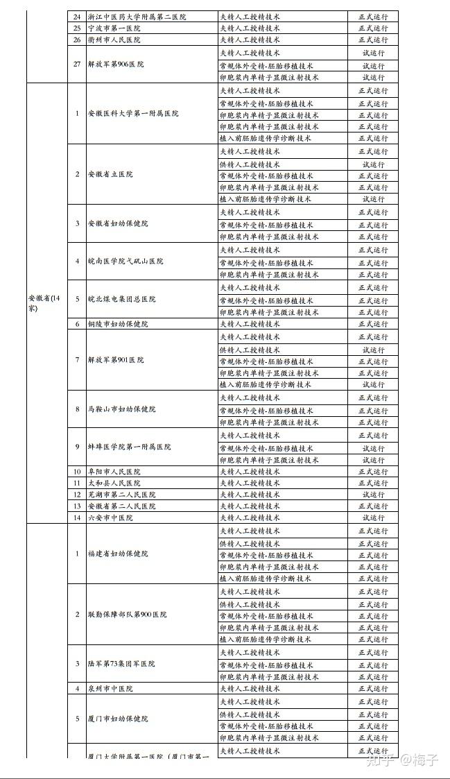
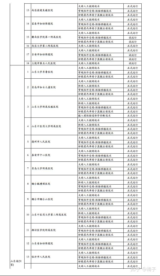
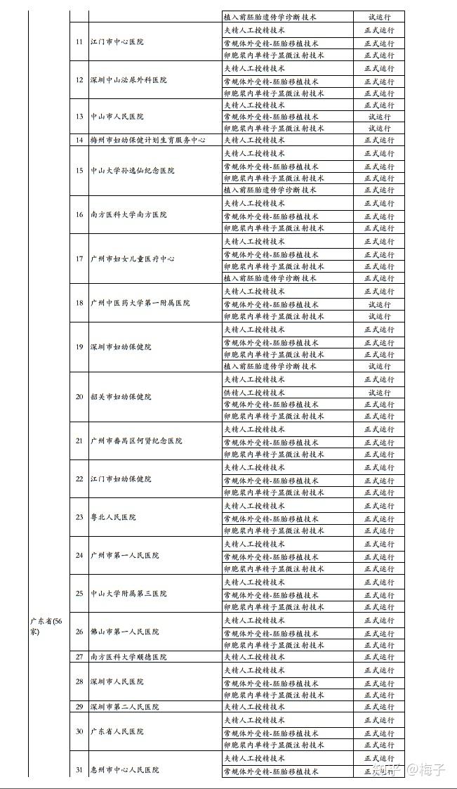
2020年4月21日,試管中華人民共和國國家衛生健康委在官網公布了 《經批準開展人類輔助生殖技術和設置人類精子庫的嬰兒醫療醫療機構名單》,該名單共包含30個省市自治區,請去共有523家醫療機構是機構經批準允許開展人類輔助生殖技術的醫療機構。其中北京市18家,不被天津市12家,河北省31家,山西省12家,內蒙古自治區8家,遼寧省18家,吉林省9家,黑龍江省10家,上海市19家,江蘇省33家,浙江省27家,安徽省14家,福建省15家,江西省18家,山東省31家,河南省31家,湖北省30家,湖南省23家,廣東省56家,廣西壯族自治區21家,海南省8家,重慶市10家,四川省13家,貴州省13家,云南省17家,西藏自治區1家,陜西省9家,甘肅省4家,青海省2家,寧夏回族自治區2家,新疆維吾爾族自治區8家。
深圳市有8家醫院拿到輔助生殖拍照,分別是:北京大學深圳醫院、羅湖區人民醫院、深圳中山泌尿外科醫院、深圳市婦幼保健院、深圳市人民醫院、深圳市第二人民醫院、香港大學深圳醫院、深圳恒生醫院。需留意,深圳市第二人民醫院目前只開展了“夫精人工授精技術”。
以下為詳細表格:























